廢氣排氣筒高度與排放速率
2022-08-08 08:16:39
HJX
廢氣排氣筒高度與排放速率
排放氯氣、氰化氫、光氣的排氣筒不得低于 25 m。
其它大氣污染物的排氣筒高度不應低于 15 m, 如低于 15 m,排氣筒中大氣污染物排放濃度應按表 1“無組織排放監控點濃度限值”的 5 倍執行。
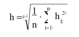
排放速率以企業為單位核算:企業內如有排放同種污染物的多根排氣筒,按合并后的一根代表性排氣筒高度確定全廠應執行的最高允許排放速率限值。代表性排氣筒高度按下式計算:

式中:
h——代表性排氣筒高度,m;
n——排氣筒數量(n≥2);
hi——第 i 根排氣筒的實際幾何高度,m。
若排氣筒高度處于標準列出的兩個值之間,其執行的最高允許排放速率以內插法計算,內插法計算式見本標準附錄 B。當排氣筒高度大于 50 m 時,以外推法計算其最高允許排放速率;當排氣筒高度低于表 1 所列的最低排氣筒高度時,在外推法計算的排放速率限值基礎上再嚴格 50%執行,外推法計算式見本標準附錄 B。
排氣筒高度除滿足排放速率限值外,還應高出周圍 200 m 半徑范圍內的建筑物 5 m 以上,不能達到該項要求的,最高允許排放速率應在表列排放速率標準值或根據 7.1.3 條確定的排放速率限值基礎上嚴格 50%執行。
需要使用氣相和熱解析定期監測是否符合標準